概述
中文名称:精氨酸
汉语拼音名:Jing‘ansuan
英文名称:Arginine
化学名称:L-2-氨基-5-胍基戊酸
CAS号:74-79-3
化学分子式:C6H14N4O2
分子量:174.20
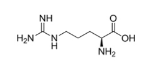
结构式:

性状:本品为白色结晶或结晶性粉末,几乎无臭,有特殊味。本品在水中易溶,在乙醇中几乎不溶,在乙醚中几乎不溶;在稀盐酸中易溶。
执行标准:国家药品监督管理局标准YBH16362004,参照《中华人民共和国药典》(2020年版)。
批准文号:国药准字H20045457。
国家药品监督管理局药品审评中心(CDE)登记号:Y20190005213。
贮藏:应遮光、密封保存。
有效期:两年。
体系认证:中国GMP、日本PMDA认证、美国FSMA认证、ISO 9001、ISO 14001、ISO 45001。
专注价值,超越期待,从标准化到定制化。
已实现物理性状(粒度、松密度、流动性)一对一专属定制。
包装规格:(7kg/15L铝桶*2桶)/纸箱、(10kg/30L铝桶*1桶)/纸箱
常规目数:60目、100目、150目(可定制)
产品专属助理:曹凯东 15127119722(同微信)
当“卷”成为常态,诚邀制剂企业、研发机构全方位、多元化合作,优势互补、合力破圈。从“供应商”到“价值共创伙伴”的践行者。